Deprem ID-Earthquake ID : koeri2022voyk    
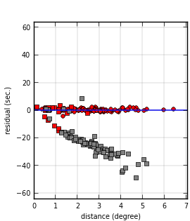
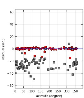
plot showing distance plot showing azimuthal gap plot showing polar distribution legend of symbols displayed in plots